BARISAN DAN DERET
Disusun oleh:
Syarira Hanandhita Putri Ilham
Kelas XI IPS 3
BARISAN DAN DERET
Barisan merupakan suatu runtutan angka atau bilangan dari kiri ke kanan dengan pola serta aturan tertentu. Barisan berkaitan erat dengan deret. Jika barisan adalah kelompok angka atau bilangan yang berurutan, deret merupakan jumlah dari suku-suku pada barisan. Barisan dan deret terbagi menjadi beberapa macam.
a) Barisan dan Deret Aritmatika
Barisan aritmetika merupakan barisan bilangan yang memiliki beda atau selisih tetap antara dua suku yang berurutan.Contoh Barisan Aritmetika:

Rumus untuk menentukan suku ke-n dari barisan aritmetika:

2 + 4 + 6 + 8 + 10 + …
24 + 20 + 16 + 12 + …
Rumus jumlah n suku pertama deret aritmetika:

Contoh Soal 1 :
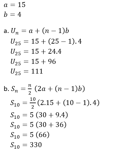
Diketahui sebuah barisan aritmetika 15, 19, 23, 27, 31, … .
a. Tentukan suku ke 25!
b. Tentukan 10 suku pertama!
Pembahasan :

Contoh soal 2 :
Terdapat sebuah barisan bilangan seperti berikut 3, 5, 7, 9, …
Berapakah suku ke-30 dari barisan tersebut?
Pembahasan
Diketahui:
a = 3
b =
= 5-3
= 2
Ditanyakan: U30?
Jawab:
= 3 + (30-1)2
= 3 + (29)2
= 3 + 58
= 61
Jadi, suku ke-30 dari barisan aritmetika tersebut adalah 61.
Contoh soal 3 :
Terdapat sebuah barisan aritmetika sebagai berikut 20 + 18 + 16, …
Tentukan berapa jumlah 12 suku pertamanya!
Diketahui:
a = 20
b = 2
Ditanyakan: Sn?
Jawab: =
(20 + 20 + (12-1)2))
= 6 (40 + 24 – 2)
= 6 (62)
= 372.
Jadi, jumlah 12 suku pertama dari barisan aritmetika tersebut adalah 372.
b) Barisan dan Deret Geometri
Barisan geometri merupakan barisan bilangan dimana dua suku yang berurutan memiliki perbandinganyang sama. Perbandingan pada barisan geometri disebut sebagai rasio (r).
Contoh barisan geometri:

Rumus untuk menentukan suku ke-n dari barisan geometri:

Rumus untuk mencari rasio pada barisan geometri:

Deret geometri merupakan hasil penjumlahan pada barisan geometri. Rumus deret hanya menjumlahkan suku-suku pada barisan geometri hanya sampai suku yang diperintahkan saja.
Contoh deret geometri:
2 + 4 + 8 + 16 + 32 + …
200 + 100 + 50 + 25 + …
Rumus jumlah n suku pertama deret geometri:

Contoh Soal 1 :
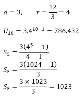
Diketahui sebuah barisan geometri berikut:
3, 12, 48, 192, …
a. Tentukan suku ke-10 dari barisan geometri tersebut!
b. Tentukan jumlah 5 suku pertama dari barisan geometri tersebut!
Pembahasan:

Contoh soal 2 :
Pada sebuah deret geometri diketahui bahwa suku pertamanya adalah 3 dan suku ke-9 adalah 768. Suku ke-7 deret tersebut adalah…
Pembahasan:
Diketahui: a = 3
Ditanya:
Jawab:
Sebelum kita mencari nilai dari , kita akan mencari nilai r terlebih dahulu.
Ingat kembali bahwa sehingga
dapat ditulis menjadi
Sehingga,
Jadi, suku ke-7 deret tersebut adalah 192.
c) Bunga,Penyusutan,Pertumbuhan dan peluruhan
Bunga yaitu selisih antara jumlah uang yang dipinjamkan oleh pemodal dengan jumlah uang yang akan dikembalikan oleh pemakai modal menurut kesepakatan bersama.
Adapun besarnya bunga dipengaruhi oleh: besarnya jumlah uang yang dipinjam, jangka waktu untuk meminjam, dan tingkat suku bunga / persentase. Bunga dibedakan menjadi 2 jenis, yakni bunga Tunggal dan bunga Majemuk.
- Bunga tunggal
Bunga tunggal yaitu bunga yang dibayar untuk setiap periodenya dengan jumlah yang tetap. Bunga tunggal ini dihitung menurut modal awal.
Rumus bunga tunggal pada akhir periode;
Rumus besarnya modal pada akhir;
Keterangan:
B = bunga
M0 = modal awal
Mt = modal pada akhir periode – t
t = periode
r = tingkat suku bunga (persentase)
- Bungan majemuk
Bunga majemuk yaitu, bunga yang dihitung menurut jumlah modal yang dipakai ditambahkan dengan akumulasi bunga yang telah terjadi. bunga majemuk ini sering disebut dengan bunga berbunga, bunga majemuk dapat dihitung dengan menggunakan deret geometri.
Misalkan, Modal Sejumlah M0, akan diberlakukan bunga majemuk,dengan tingkat suku bunga i (dalam persentase) per periode waktu. Besarnya modal saat periode ke-t (Mt) bisa dihitung dengan cara:
Sehingga, rumus untuk besar modal pada periode ke-t dengan bunga majemuk yaitu;
keterangan;
Mt = modal pada akhir periode – t
M0 = modal awal
i = tingkat suku bunga
t = periode
Pertumbuhan yaitu pertambahan atau kenaikan nilai suatu besaran terhadap besaran yang sebelumnya yang umumnya mengikuti pola aritmatika (linier) atau geometri (eksponensial).
Contoh dari pertumbuhan misalnya perkembangbiakan amoeba dan pertumbuhan penduduk.
Rumus pertumbuhan linear;
Sedangkan rumus pertumbuhan eksponensial;
Keterangan;
Pn = nilai besaran setelah n periode
P0 = nilai besaran pada awal periode
b = tingkat pertumbuhan
n = banyaknya periode pertumbuhan
Contoh soal:
Banyak penduduk kota A setiap tahun meningkat 2% secara eksponensial dari tahun sebelumnya. Tahun 2013 penduduk di kota A sebanyak 150.000 orang. Hitung banyak penduduk pada tahun 2014 dan 2023!
Jawab:
![]()
Banyak penduduk pada tahun 2014 (artinya 1 tahun setelah 2013, maka n = 1):

Banyak penduduk pada tahun 2023 (n=2023-2013=10):

Peluruhan ( penyusutan) yaitu berkurangnya nilai atau penurunan suatu besaran terhadap nilai besaran yang sebelumnya, yang umumnya mengikuti pola aritmatika (linier) atau geometri (eksponensial). Peluruhan misalnya, peluruhan zat radioaktif dan penurunan harga jual mobil.
Rumus peluruhan linear;
Rumus peluruhan eksponensial;
Keterangan;
Pn = nilai besaran setelah n periode
P0 = nilai besaran pada awal periode
b = tingkat peluruhan
n = banyaknya periode pertumbuhan
Contoh soal:
Suatu bahan radioaktif yang semula berukuran 125 gram mengalami reaksi kimia sehingga menyusut 12% dari ukuran sebelumnya setiap 12 jam secara eksponensial. Tentukan ukuran bahan radioaktif tersebut setelah 3 hari!
Jawab:
![]()
Peluruhan terjadi setiap 12 jam, sehari peluruhan terjadi 2 kali, 3 hari = 72 jam terjadi 6 kali peluruhan.
![]()

DAFTAR PUSTAKA
https://www.zenius.net/blog/barisan-dan-deret-aritmetika
https://www.zenius.net/blog/contoh-soal-barisan-dan-deret-geometri
https://rumushitung.com/2021/04/16/bunga-pertumbuhan-peluruhan-pengertian-jenis-dan-rumusnya/
https://www.ruangguru.com/blog/pertumbuhan-dan-peluruhan-matematika
Komentar
Posting Komentar